Funciones definidas a trozos
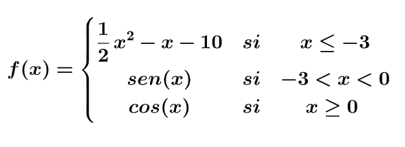
En algunos casos una función no se expresa con una única fórmula sino que a distintas partes del dominio de la función se les asigna una expresión distinta. En estos casos, las funciones se denominan funciones definidas a trozos. Escribimos una función definida a trozos con GeoGebra mediante la sentencia condicional: Si(condición, entonces, sino). Por ejemplo, si queremos escribir en GeoGebra la siguiente función:

Si(x<0,Si(x -3, (1/2) x2-x-10, sen(x)),cos(x)). O bien, Si(x -3, (1/2) x2 -x-10, Si(-3<x<0, sen(x), cos(x)).
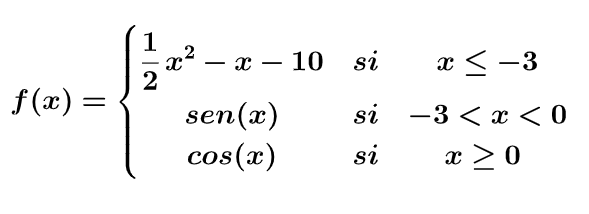
Si deseamos añadir un texto en el que aparezca la función que hemos representado, podemos hacerlo de la forma siguiente. Seleccionamos Texto de la barra de herramientas y en la ventana que aparece seleccionamos Fórmula Latex y escribimos:

El resultado será el siguiente:

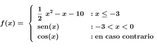
Pero si deseamos que el texto aparezca de esta otra forma:

deberemos escribir en la ventana de texto:

