Figuras geometricas
Nombre del alumno y equipo.

¿Qué son las figuras geométricas?
Una figura geométrica es una representación visual y funcional de un conjunto no vacío y cerrado de puntos en un plano geométrico
Circulo

Un circulo es una figura plana formada por una circunferencia y su interior.

Triangulo

Los triángulos son los polígonos con menos lados que pueden existir. Todos los triángulos tienen tres lados, tres vértices y tres ángulos interiores.

Rectangulo

El rectángulo es un cuadrilátero, específicamente un paralelogramo, que tiene dos pares de lados de igual longitud. A su vez todos los ángulos interiores son rectos, es decir, miden 90 grados.

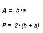
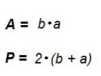
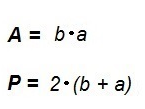
Paralelogramo

Los paralelogramos son cuadriláteros con los lados opuestos paralelos que tienen las siguientes propiedades:
-Tienen iguales sus lados opuestos.
-Tienen iguales sus ángulos opuestos.
-Dos ángulos consecutivos son suplementarios.

Cuadrado

El cuadrado es la figura geométrica que pertenece a los paralelogramos porque tiene cuatro lados. Los lados miden lo mismo y son paralelo dos a dos.

Rombo

El rombo es un cuadrilátero, específicamente un paralelogramo, que tiene dos ángulos idénticos agudos (menores que 90 grados) y otro par de ángulos, también iguales, que son obtusos (mayores que 90 grados). Así mismo , todos los lados de la figura son de la misma longitud.

Trapecio

El trapecio es un cuadrilatero que tiene dos lados paralelos, es decir, que no se cruzan, aunque sean prolongados. Estos son llamados bases del trapecio.


Pentágono

El pentágono es una figura geométrica formada por 5 lados, además que tiene 5 vértices y 5 ángulos internos. Es decir, el pentágono es un polígono que cuenta con 5 lados, siendo de mayor complejidad que un cuadrilátero y que un triangulo.

Hexágono

El hexágono es una figura geométrica formada por 6 lados, además que tiene 6 vértices y 6 ángulos internos. Es decir, el hexágono es un polígono que cuenta con 6 lados, siendo mas complejo que un pentágono o un cuadrilátero.

Octagono

El octágono es una figura geométrica formada por 8 lados. A su vez, posee 8 vértices y 8 ángulos internos. Es decir, el octágono es un polígono que cuenta con 8 lados, por lo que es mas complejo que un hexágono o un heptágono.
