Google ClassroomGoogle Classroom
GeoGebraGeoGebra Classroom

4.- Concepción dinámica del concepto de límite

Tarea 4

Objetivos:
  • Reflexiona sobre el proceso de aproximar al valor para poder obtener el proceso de aproximándose a , cuando las secuencias numéricas son o no coincidentes, por medio del sistema de representación gráfico.
  • Describe formalmente la existencia o no del límite de una función en el punto , por medio de la expresión .
4.1 En el siguiente sistema de representación gráfico se puede observar la función:

Analice la función y responda a las preguntas planteadas:

Gráfico 1

¿Cuál es el valor de , cuando ?

Wähle alle richtigen Antworten aus
  • A
  • B
  • C
  • D
Antwort überprüfen (3)

Las aproximaciones de las imágenes de , por derecha e izquierda, ¿son IGUALES o DIFERENTES?

Wähle alle richtigen Antworten aus
  • A
  • B
Antwort überprüfen (3)

Por lo tanto, se puede afirmar que:

Wähle alle richtigen Antworten aus
  • A
  • B
  • C
  • D
Antwort überprüfen (3)
NOTA: Siempre que las aproximaciones de las imágenes de sean IGUALES, por derecha e izquierda, se puede afirmar que: Conforme se aproxima a ______, la imagen de se aproxima a ______

Indique la relación existente entre las imágenes y los valores de :

Wähle alle richtigen Antworten aus
  • A
  • B
  • C
  • D
Antwort überprüfen (3)
NOTA: Siempre que la imagen de se aproxima sucesivamente a un mismo número cuando se aproxima a un número , por derecha e izquierda; se puede afirmar que: Existe límite de , cuando se aproxima al número , cuyo valor es L:

Escoja la expresión simbólica que represente la relación de la pregunta anterior:

Wähle alle richtigen Antworten aus
  • A
  • B
  • C
  • D
Antwort überprüfen (3)
4.2 En el siguiente sistema de representación gráfico se puede observar la función:

Analice la función y responda a las preguntas planteadas:

Gráfico 2

¿Cuál es el valor de , cuando ?

Wähle alle richtigen Antworten aus
  • A
  • B
  • C
  • D
Antwort überprüfen (3)

Las aproximaciones de las imágenes de , por derecha e izquierda, ¿son IGUALES o DIFERENTES?

Wähle alle richtigen Antworten aus
  • A
  • B
Antwort überprüfen (3)

Por lo tanto, se puede afirmar que:

Wähle alle richtigen Antworten aus
  • A
  • B
  • C
  • D
Antwort überprüfen (3)
NOTA: Siempre que las aproximaciones de las imágenes de sean IGUALES, por derecha e izquierda, se puede afirmar que: Conforme se aproxima a ______, la imagen de se aproxima a ______

Indique la relación existente entre las imágenes y los valores de :

Wähle alle richtigen Antworten aus
  • A
  • B
  • C
  • D
Antwort überprüfen (3)
NOTA: Siempre que la imagen de se aproxima sucesivamente a un mismo número cuando se aproxima a un número , por derecha e izquierda; se puede afirmar que: Existe límite de , cuando se aproxima al número , cuyo valor es L:

Escoja la expresión simbólica que represente la relación de la pregunta anterior:

Wähle alle richtigen Antworten aus
  • A
  • B
  • C
  • D
Antwort überprüfen (3)
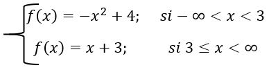
4.3 En el siguiente sistema de representación gráfico se puede observar la función a trozos:
[size=100][size=150]Analice la función y responda a las preguntas planteadas:
[/size][/size]
Analice la función y responda a las preguntas planteadas:

Gráfico 3

¿Cuál es el valor de , cuando ?

Wähle alle richtigen Antworten aus
  • A
  • B
  • C
  • D
Antwort überprüfen (3)

Las aproximaciones de las imágenes de , por derecha e izquierda, ¿son IGUALES o DIFERENTES?

Wähle alle richtigen Antworten aus
  • A
  • B
Antwort überprüfen (3)

Por lo tanto, se puede afirmar que:

Wähle alle richtigen Antworten aus
  • A
  • B
  • C
  • D
Antwort überprüfen (3)
NOTA: Siempre que las aproximaciones de las imágenes de sean IGUALES, por derecha e izquierda, se puede afirmar que: Conforme se aproxima a ______, la imagen de se aproxima a ______

Indique la relación existente entre las imágenes y los valores de :

Wähle alle richtigen Antworten aus
  • A
  • B
  • C
  • D
Antwort überprüfen (3)
NOTA: Siempre que la imagen de se aproxima sucesivamente a un mismo número cuando se aproxima a un número , por derecha e izquierda; se puede afirmar que: Existe límite de , cuando se aproxima al número , cuyo valor es L:

Escoja la expresión simbólica que represente la relación de la pregunta anterior:

Wähle alle richtigen Antworten aus
  • A
  • B
  • C
  • D
Antwort überprüfen (3)