5. Beispiele
Aufgabe 1
Betrachte die folgenden Beispiele aus dem Buch auf der Seite 107. Hier siehst du wie man mit beiden Methoden den Differentialquotienten berechnen kann. Dabei werden überwiegend folgende Werkzeuge benutzt:
- Ausmultiplizieren von Termen
- Binomische Formeln (vorwärts)
- Ausklammern von Variablen oder Werten
- Binomische Formeln (rückwärts)
- Division von einem Term durch eine Variable
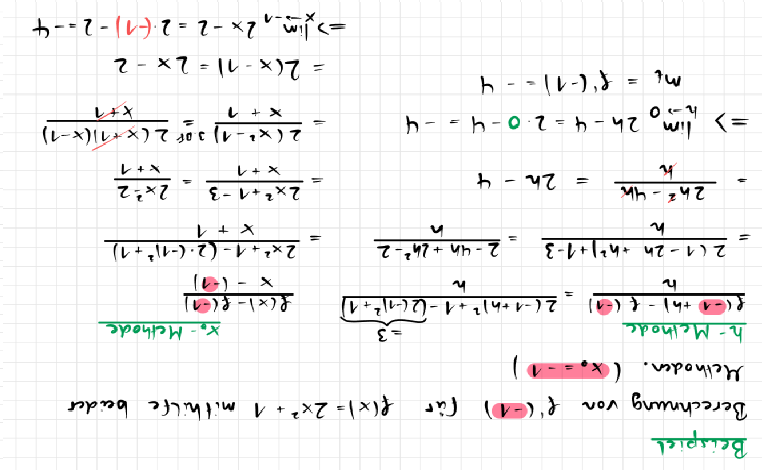
Berechnung der Ableitung von f an der Stelle 1

Aufgabe 2
Berechne den Differentialquotienten, also die Ableitung , also die momentane bzw. lokale Änderungsrate, der Funktion an der Stelle mithilfe der beiden Methoden: und . Verwende dazu beide Methoden aus der Definition der Differentialquotienten:
__________________________ und
Für die h-Methode:
1. Setze in die Funktion f die Werte und für x ein.
2. Vereinfache den Quotienten soweit wie möglich.
3. Wende eine der binomischen Formeln an und kürze vollständig.
4. Lasse h gegen 0 laufen, also: . Setze h=0.
Für die -Methode:
1. Setze in die Funktion f die Werte x und für x ein.
2. Vereinfache den Quotienten soweit wie möglich.
3. Wende eine der binomischen Formeln an und kürze vollständig.
4. Lasse x gegen laufen, also . Setze .
Lösung der Aufgabe 2
