Auswertung der Einstiegsaufgabe
Schrittweise Bestimmung der Fläche zwischen zwei Graphen
Im Folgenden wird nun dargestellt, wie die Fläche zwischen den beiden Funktionen und schrittweise bestimmt wird.
Klicke im linken Teil der Grafik auf die schwarzen Kreisringe, um dir die notwendige Fläche anzuzeigen, bzw. sie wieder auszublenden.
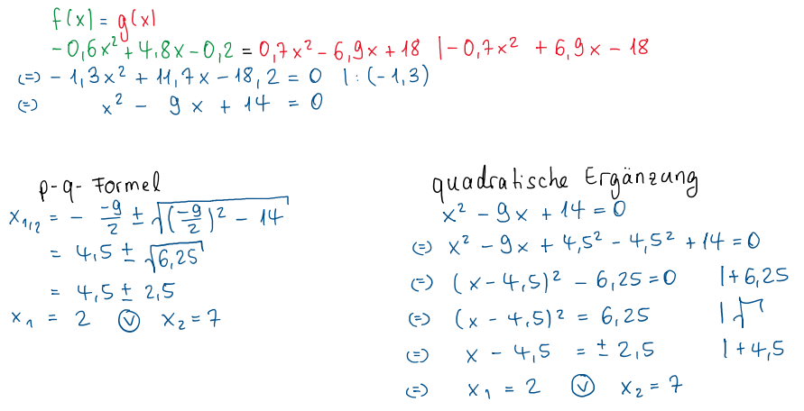
Bei der Betrachtung der Fläche zwischen den beiden Funktionen fällt auf, dass sie links und rechts durch die Schnittpunkte der beiden Funktionen beschränkt ist. Weil diese beiden Schnittpunkte die Grenzen der Flächen - also der Integrale - sind, müssen sie berechnet werden.
An den Schnittpunkten liegen beide Funktionen an dem gleichen Punkt. Wollen wir diese Stelle also bestimmen, müssen wir berechnen, wo die Funktionsgleichungen die gleichen Werte annehmen. Dafür nutzen wir (wie bei der Schnittpunktbestimmung von Geraden) das Gleichsetzungsverfahren. Anschließend wird nach 0 umgestellt und die Lösung der Gleichung bestimmt.
Zeichnet man die Flächen unterhalb der Funktionen bis zur x-Achse in den Grenzen der Schnittstellen ein, so fällt auf, dass sich diese Flächen in einem Bereich überdecken. Im anderen Bereich wird die Fläche ausschließlich durch die Fläche unter einer Funktion bestimmt. Diese Fläche ist dabei genau die Fläche zwischen den beiden Funktionen. Da wir genau hieran interessiert sind, muss von der größeren Fläche die kleinere Fläche abgezogen werden. Übrig bleibt dann nur noch die Fläche zwischen den beiden Funktionen.
Zusammenfassend lassen sich also vier Schritte aufstellen:
- Funktionen gleichsetzen, um Schnittstellen zu berechnen ()
- Fläche unter der ersten Funktion im Bereich der Schnittstellen bestimmen.
- Fläche unter der zweiten Funktion im Bereich der Schnittstellen bestimmen.
- Kleine Fläche von der größeren Fläche subtrahieren.
Schritt 1:
Zunächst müssen die Schnittstellen von und bestimmt werden, damit wir unsere Integralgrenzen
erhalten.

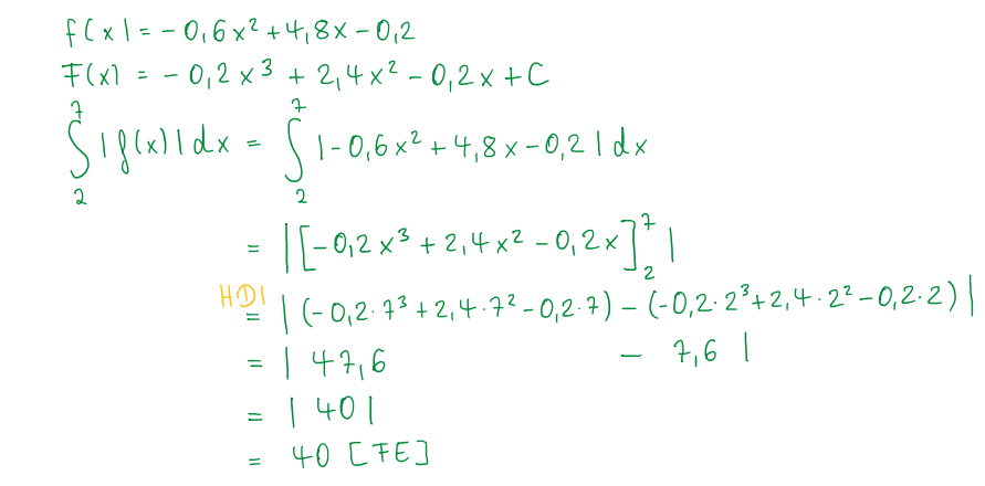
Schritt 2:
Bestimme die Fläche unter der Funktion im Bereich von 2 bis 7. Bilde dazu zunächst die Stammfunktion von .

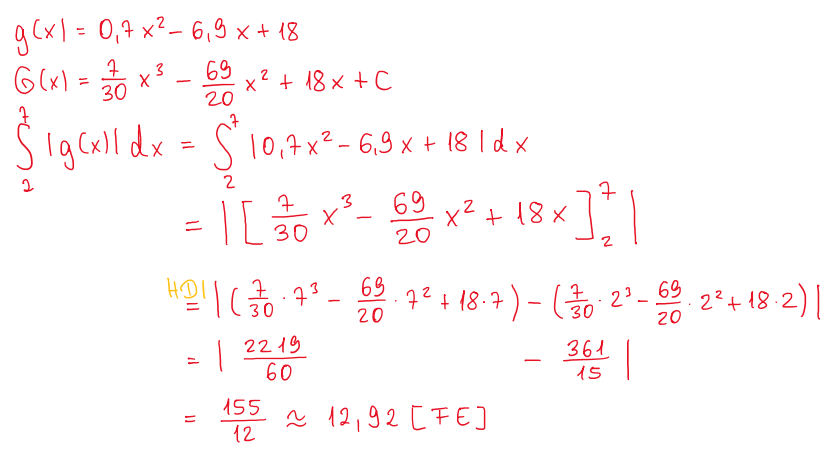
Schritt 3:
Bestimme die Fläche unter der Funktion im Bereich von 2 bis 7. Bilde dazu zunächst die Stammfunktion von .

Schritt 4:
Bestimme die Fläche zwischen den beiden Funktionen und im Bereich von 2 bis 7. Subtrahiere dazu die kleinere von der größeren Fläche, das heißt die Fläche von wird von der Fläche von abgezogen.

Ergebnis:
Die Fläche, die von und eingeschlossen wird, beträgt 27,08 Flächeneinheiten.