Barisan & Deret Geometri
Pertanyaan Pemantik
- Jika sebuah pola bilangan selalu dikalikan 2, seperti 1, 2, 4, 8, ..., menurutmu bilangan ke-6 berapa?
- Apa yang terjadi jika kamu terus menggandakan suatu bilangan? Apakah polanya tetap?
- Pernahkah kamu melihat sesuatu yang tumbuh atau berkembang sangat cepat, seperti sel, uang yang berbunga, atau penyebaran informasi? Apa hubungannya dengan barisan geometri?
- Bagaimana kamu tahu suatu pola bertambah karena dikalikan, bukan ditambah?
- Mengapa penting memahami pertumbuhan dengan pola perkalian dalam kehidupan nyata? (virus, konten repost/viral)
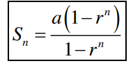
Materi singkat mengenai deret geometri

Petunjuk Penggunaan Media
LKPD
Isilah biodata berikut!
Nama : NIS : Kelas :
Sebuah deret geometri memiliki suku pertama 𝑎1=6 dan suku kedua a2=12. Berapakah rasio dari deret tersebut?
Jka suku ke-4 dari suatu deret geometri adalah 81 dan suku ke-5 adalah 324, berapakah rasio deret tersebut?
Berapakah jumlah 8 suku pertama dari sebuah deret geometri jika suku pertamanya adalah 3 dan rasio deretnya adalah 2?
Berapakah jumlah 10 suku pertama dari sebuah deret geometri jika suku pertamanya adalah 2 dan rasio deretnya adalah 3?
Berapakah jumlah 5 suku pertama dari deret geometri 3 + 12 + 48 + 192 + ...?
Berapakah jumlah 6 suku pertama dari deret geometri 1 + 7 + 49 + 343 + ...?
Perhatikan deret geometri berikut: 16 + 8 + 4 + 2 + ...
Bagaimana perubahan nilai suku pada deret tersebut?
Perhatikan deret geometri berikut: 3 + 9 + 27 + 81 + ...
Bagaimana perubahan nilai suku pada deret tersebut?
Setelah melakukan kegiatan mengamati di atas, apa yang dapat kamu simpulkan dari kedua bentuk deret geometri tersebut?
Apa yang dapat kamu simpulkan, jika mendapati suatu deret geometri yang memiliki rasio 1?