კიბის ამოცანა
ამოცანა
კედელი და იატაკი ადგენენ მართ კუთხეს. კედელზე მიყუდებული
კიბე სრიალებს.
როგორია კიბის შუაწერტილის ტრაექტორია?
როგორია სხვა წერტილის ტრაექტორია?
პასუხი
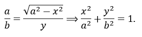
კიბის ნებისმიერი წერტილის ტრაექტორია არის ელიფსის რკალი, ხოლო შუაწერტილის ტრაექტორია არის წრეწირის რკალი.განტოლება კიბის წერტილის კოორდინატებისთვის
