Formel: Mittelwert (arithmetisches Mittel, Durchschnittswert)
In der ersten Aufgabe hast du die Formel für die Berechnung des Mittelwertes (= arithmetisches Mittel) bereits verbal formuliert und versucht, sie in mathematischer Schreibweise anzugeben. Hier wird die Formel nochmals ausführlich entwickelt. Versuche, jeden Schritt zu verstehen, und präge dir die Formel gut ein! Schreibe die Formeln auf!
Der Mittelwert zweier Zahlen a und b ist definiert als

Der Mittelwert dreier Zahlen a, b und c ist definiert als

Formuliere eine analoge Formel für den Mittelwert von fünf Zahlen!
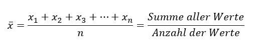
Der Mittelwert von n Zahlen x1, x2, x3,... xn ist definiert als

Beachte: Der Mittelwert wird auch manchmal mit anderen Buchstaben (wie oder m) bezeichnet.