Copia de Tabla de distribución de frecuencias con intervalos ( Anahi Aguirre)
frecuencia y tablas
Una tabla de frecuencia es una tipo de ordenación en forma de tabla de los datos estadísticos, asignando a cada dato su frecuencia correspondiente. Esta ordena datos los cuales corresponden a un grupo de numero que tienen algo en común. Pero en este caso no solo estamos hablando de tabla de frecuencia sino tambien esta con intervalos.
Pero, Que son los intervalos?
Par de números entre los cuales se estima que estará cierto valor desconocido.
Ahora la tabla de frecuencia con intervalos ordena estos datos y tambien con intervalos.
Los intervalos pueden variar depende el numero de datos que haya.
A continuación daré un ejemplo de una tabla de frecuencia con intervalo.

Como pudimos observar se muestran los intervalos de forma ordenada y en este ejemplo hay 5 intervalos que su frecuencia absoluta indica el numero de la repeticion de los sucesos.
Explicación de formulas
Para hacer una tabla de frecuencia con intervalos tenemos que tener en cuenta algunas pequeñas formulas por ejemplo:
X: Es una variable en la cual se vienen a sumar los intervalos que estas en paréntesis es decir en el intervalo 1 será 0+4 y después de sumar lo dividimos para 2.
fi= Frecuencia absoluta la cual varia depende cuanto se repiten los intervalos es decir, en este caso en el intervalo numero 2 (4-8) se repiten 5 veces y así con todos los datos.
Fi= Frecuencia acumulada en esta se viene a sumar los datos de la frecuencia absoluta en orden de arriba hacia abajo es decir, desde el intervalo 1 hasta llegar al intervalo 5 tiene que ser el total 21.
En algunos casos se saca XiFi que es la multiplicación ente Xi y fi, pero en algunos casos como por ejemplo en las medidas centrales lo necesitamos.
Medidas centrales
Quise introducir este tema tambien ya que es importante tener en cuenta, ya que la tabla de frecuencia con intervalos básicamente nos ayuda a resolver esto.
Media Aritmética: Valor promedio de las muestras y es independiente de las amplitudes de los intervalos.
A continuacion su formula:
Mediana
Representa el valor de la variable de posición central en un conjunto de datos ordenados.
A continuacion la formula detallada
Mediana en datos NO agrupados.

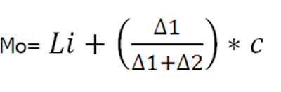
Moda
Por lo general es el valor que mas veces se repite.
A continuación su formula mas detallada:

Media Aritmetica
