Grenzwerte für x gegen unendlich
Übung 1
Überprüfe, ob alle folgenden Funktionen den Grenzwert 0 haben:

Übung 2
Zeichne den Grafen von f(x) = 2x.
- Bestimme den Grenzwert für x und für x .
- Was ändert sich, wenn f(x) = 2-x ist?
Übung 3
Berechne jeweils den Grenzwert folgender Betragsfunktionen (zur Erinnerung: Den (absoluten) Betrag einer reellen Zahl erhält man durch Weglassen des Vorzeichens. Auf der Zahlengeraden bedeutet der Betrag den Abstand der gegebenen Zahl von Null.):
![[size=50]Lösungen: a) 0 b) 0 c) -1[/size]](https://www.geogebra.org/resource/mvhm7vfr/RKE6hPqDg0oFo8HO/material-mvhm7vfr.png)
Übung 4
Bestimme folgende Grenzwerte durch geeignete Berechnungen:
![[size=50]Lösungen: a) –1 b) 2/5 c) 0 d) ½[/size]](https://www.geogebra.org/resource/hqugu4vt/7pRLOrHi7ZirDYaK/material-hqugu4vt.png)
Übung 5
Bestimme folgende Grenzwerte durch geeignete "Umformungen":
![[size=50]Lösungen: a) 1/3 b) 0 c) -1 d) 1 [/size]](https://www.geogebra.org/resource/m73mn7kb/vnQggWb57oQpxpAK/material-m73mn7kb.png)
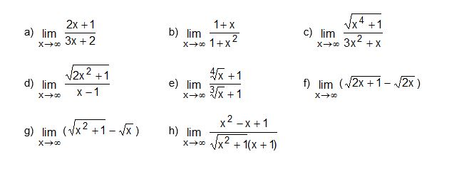
Übung 6
Knacknüsse!
![[size=50]Lösungen: a) 2/3 b) 0 c) 1/3 d) [math]\sqrt{2}[/math] e) 0 f) 0 g) [math]\infty[/math] h) 1[/size]](https://www.geogebra.org/resource/pemqwjy2/ffzlJt6lld47mrkG/material-pemqwjy2.png)
Übung 7
Suche Funktionen, die für x folgende Grenzwerte haben:
- 0
- 1
- -4
- 8
- -
- keinen